
Avignon Motor Passion 2024
Suite à l’article consacré aux propulsions Lancia, ABSOLUTELY CARS vous invite à redécouvrir les tractions Lancia dans ce second article ainsi que les tractions Lancia habillées par les maîtres-carrossiers.
Les autoroutières Lancia
En mars 1955, Vittorio Jano fut remplacé par Antonio Fessia (1901-1968). Diplômé de l’École polytechnique de Turin, il entra au Bureau d’études central de FIAT en 1925 et travailla sous la direction de Dante Giacosa (1905-1996). Suite à un différend avec le sénateur Gianni Agnelli concernant l’introduction de la transmission aux roues avant sur un nouveau modèle, il démissionna au printemps 1946 et fut embauché par CEMSA (Costruzioni Elettro Meccaniche di Saronno), une filiale de la société aéronautique Caproni. Cette dernière cherchait une solution pour reconvertir ses activités et envisageait la production d’automobiles. En octobre 1947, lors de Salon de l’automobile de Paris, fut présentée une voiture dénommée CEMSA Caproni F11. Son châssis séparé d’un empattement de 2,54m, était muni d’une suspension à 4 roues indépendantes, de 4 freins à tambours assistés hydrauliquement, d’une carrosserie 4 portes de style ponton, d’une longueur de 4,41m. Sa distribution électrique était de 12 Volt. Son 4 cylindres à plat de 1093cm³ (70×71) muni de soupapes en tête, délivrait 40ch à 4400tr/mn (73Nm à 2600tr/mn). Sa puissance était transmise aux roues avant à l’aide d’une boîte à vitesses 4 rapports. Sa vitesse maximale était de 118km/h. Elle fut produite à seulement 7 exemplaires entre 1947 et 1948, les derniers étant équipés d’un 4 cylindres à plat de 1255cm³ (75×71) délivrant 46ch à 4400tr/mn (83Nm à 2600tr/mn) ; l’empattement étant de 2,55m ; sa longueur, de 4,6m ; sa vitesse maximale, de 120km/h. En 1948, CEMSA disparut.

Musée de l’aviation de Volandia
Antonio Fessia devint ingénieur consultant, notamment, pour Ducati, Pirelli, NSU-FIAT, jusqu’à son recrutement chez Lancia. Il conçut la propulsion Lancia Flaminia avec Giovanni-Battista Farina et modernisa la propulsion Lancia Appia. En novembre 1960, il présenta au Salon de l’automobile de Turin, sa nouvelle création, la traction Lancia Flavia, une voiture innovante remplaçant l’autoroutière Lancia Aurelia, issue de son expérience acquise en concevant la CEMSA Caproni F11.
Dessinée par Piero Castagnero, la Lancia Flavia était équipée d’une carrosserie monocoque autoporteuse, d’un 4 cylindres à plat de 1500cm³ (82×71) délivrant 78ch à 5200tr/mn (111Nm à 3500tr/mn), de 4 freins à disques, d’un essieu arrière rigide. Son moteur était accouplé à une boîte à vitesses 4 rapports. Son empattement était de 2,65m ; sa longueur, de 4,58m. Sa vitesse maximale était de 148km/h. Les premiers exemplaires furent produits dans l’usine de Borgo San Paolo implantée à Turin.
Pendant ce temps, Carlo Pesenti (1907-1984), nouveau propriétaire de Lancia depuis juin 1956, fit construire une nouvelle usine à Chivasso à partir de décembre 1959. Inaugurée en 1962, elle accueillit la production de la Lancia Flavia au printemps 1963.

Epoqu’auto 2022
La Lancia Flavia Berlina connut de nombreuses améliorations et fut restylisée en 1967. En 10 ans, elle fut fabriquée à 63544 exemplaires. En octobre 1969, n’arrivant pas à amortir son usine de Chivasso, Carlo Pesenti rencontra Gianni Agnelli (1921-2003), petit-fils de Giovanni Agnelli (1866-1945), fondateur de FIAT, pour lui vendre Lancia. Ce dernier lui proposa une lire par action avec un délai d’option de 30 minutes. Carlo Pesenti accepta. La Lancia Flavia Berlina fut restylisée en 1971 et rebaptisée Lancia 2000 Berlina. Sa longueur fut portée à 4,62m. En 1972, la boîte à vitesses reçut un 5ème rapport. De nombreux équipements furent disponibles : sellerie en cuir, climatisation, 4 vitres électriques, vitres teintées, lunette arrière dégivrante, direction hydraulique à assistance variable produite par ZF. Entre 1971 et 1974, 14319 berlines complémentaires furent produites.

La Carozzeria Pininfarina présenta son coupé 2+2 en octobre 1961 lors du Salon de l’automobile de Turin. Sa commercialisation débuta en juillet 1962. Son empattement était de 2,48m ; sa longueur, de 4,49m. Le restyling de 1969 métamorphosa ce coupé (longueur de 4,54m entre 1969 et 1970, capot s’ouvrant vers l’avant). A l’instar de la berline, il fut rebaptisé en 1971 ; il se dénomma Lancia 2000 Coupe Pininfarina ou Lancia 2000 Coupe HF Pininfarina lorsqu’il était équipé d’une injection électronique Bosch D-Jetronic. HF signifiait High Fidelity, ce logo étant introduit en 1960 lors de la création d’un club réunissant les clients les plus fidèles de la marque. Les Lancia 2000 Coupe Pininfarina et Lancia 2000 Coupe HF Pininfarina avaient une longueur de 4,56m et était équipé d’une boîte à vitesses manuelle 5 rapports. Entre 1962 et 1974, Pininfarina fabriqua 26154 coupés.

Epoqu’auto 2022

Epoqu’auto 2025


La Carozzeria Vignale présenta son cabriolet 4 places en octobre 1962 lors du Salon de l’automobile de Turin. Elle fit appel au grand designer Giovanni Michelotti (1921-1980). Son empattement était de 2,48m ; sa longueur, de 4,34m. Dénommé Lancia Flavia Convertible Vignale, il fut réalisé jusqu’en 1967, à 1601 exemplaires.

La Carozzeria Zagato présenta son coupé 2+2 en octobre 1962 lors du Salon de l’automobile de Turin, muni d’une carrosserie en aluminium, dessiné par Ercole Spada (1937-2025). Son empattement était de 2,48m ; sa longueur, de 4,4m (4,46m entre 1963 et 1967). Dénommé Lancia Flavia Coupe Sport Zagato, il fut produit à 727 exemplaires. La gamme Lancia Flavia illustrait à merveille, la haute couture italienne !

Epoqu’auto 2022

Le 1er janvier 1975, les sociétés FIAT Veicoli Industriali, OM, Lancia Veicoli Speciali, Magirus-Deutz et UNIC-FIAT furent regroupées sous la bannière IVECO (acronyme d’Industria Veicoli Commerciali). Lancia perdit une importante partie de ses revenus.
Lors du Salon de l’automobile de Genève en mars 1976, fut présentée la Lancia Gamma, une splendide autoroutière 4 portes de style fastback, dessinée par Leonardo Fioravanti (1938-….) œuvrant pour Pininfarina. Son capot s’ouvrait vers l’avant. Son empattement était de 2,67m ; sa longueur, de 4,58m. Son 4 cylindres à plat de 1999cm³ ou 2484cm³ était muni d’un arbre à cames en tête par rangée de cylindres. Il était accouplé à une boîte à vitesses manuelle 5 rapports. La suspension à 4 roues indépendantes et les 4 freins à disques étaient présents, ventilés à l’avant. Le succès commercial semblait assuré. Cependant, trois difficultés entachèrent son image. La pompe de la direction assistée était entraînée par la courroie de distribution gauche ; si les roues étaient braquées à fond, la courroie de distribution risquait de casser. Le débit de la pompe à huile était quelques fois insuffisant, engendrant des risques de déjaugeage et une usure prématurée du moteur. Elle fut présentée en même temps que le coupé Lancia Gamma 2 portes 4 places, dessiné par Aldo Brovarone (1926-2020) œuvrant pour Pininfarina. Il était plus beau et attirait les regards… Il devint disponible à la vente en 1977. Son empattement était de 2,56m ; sa longueur, de 4,49m. En 1980, le 2484cm³ fut proposé avec une injection électronique L-Jetronic. En 1981, devint disponible la boîte à vitesses automatique 3 rapports, également fragile. En 8 ans, l’usine de Chivasso réalisa seulement 15272 berlines. L’usine Pininfarina de Grugliasco assembla 6789 coupés en 7 ans.



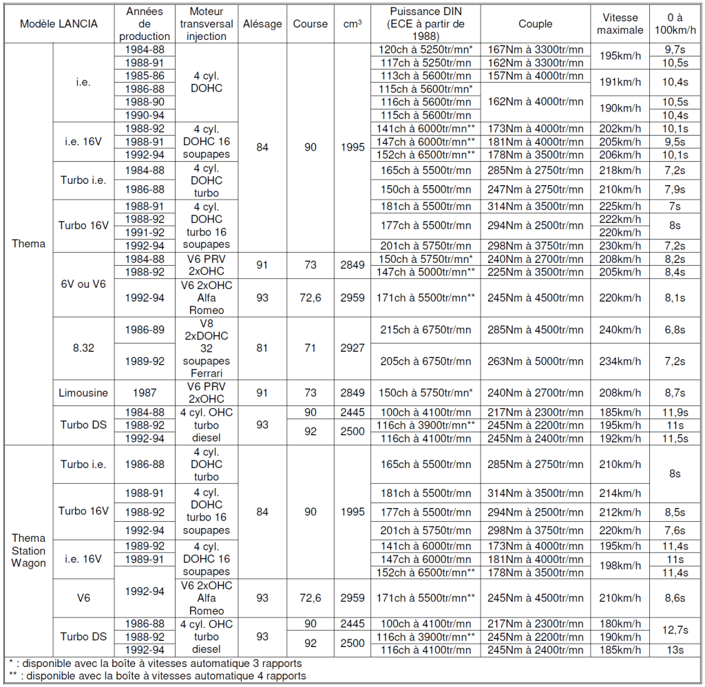
En novembre 1984 lors du Salon de l’automobile de Turin, fut présentée la Lancia Thema, conçue par Giorgetto Giugiaro (1938-….), fondateur d’Italdesign. Son empattement était de 2,66m ; sa longueur, de 4,59m (4,61m entre octobre 1992 et octobre 1994). Son Cx était de 0,32. Son coffre offrait un volume de 550 litres. Cette autoroutière était équipée des mêmes motorisations 2 litres que la FIAT Croma, la Lancia Thema Turbo i.e. bénéficiant néanmoins des arbres d’équilibrage contrarotatifs. Le V6 PRV (Peugeot-Renault-Volvo) ouvert à 90° et d’une cylindrée de 2849cm³, était de la partie (il fut remplacé par le V6 Busso (Alfa Romeo) ouvert à 60° et d’une cylindrée de 2959cm³ en octobre 1992). En 1986, apparut le luxueux break Lancia Thema Station Wagon construit dans l’usine Pininfarina de Grugliasco. Le volume de son coffre s’étendait de 440 à 1600 litres. En 1987, fut réalisée à 24 exemplaires dans l’usine de Borgo San Paolo à Turin, la Lancia Thema Limousine dotée d’un empattement de 2,96m et d’une longueur de 4,89m. La boîte à vitesses standard était manuelle et offrait 5 rapports.



Epoqu’auto 2022
En mai 1986, fut présentée la Lancia Thema 8.32, 8 pour le nombre de cylindres, 32 pour le nombre de soupapes. Elle fut rapidement surnommée « Lancia Thema V8 Ferrari ». Sa production débuta dans l’usine de Borgo San Paolo à Turin à partir du second semestre 1986, les autres berlines reconnues moins sportives étant fabriquées dans l’usine FIAT-Mirafiori de Turin. L’idée d’utiliser le V8 Ferrari fut suggérée par l’importateur français André Chardonnet (1923-2005). La puissance de ce V8 de 2927cm³ ouvert à 90° fut ramené à 215ch à 6750tr/mn (205ch à 6750tr/mn avec le pot catalytique), le couple fut relevé à 285Nm à 4500tr/mn (263Nm à 5000tr/mn avec le pot catalytique). L’ABS était naturellement monté en série. La presse spécialisée critiqua évidemment cette version : motricité manquant de rigueur, freinage peu endurant, comportement peu sportif, coût d’entretien. Pour les passionnés et les mélomanes d’hier et d’aujourd’hui, c’est tout simplement un chef d’œuvre !
La Lancia Thema 8.32 fut réalisée à 3520 exemplaires. En tout, en 10 ans, la Lancia Thema se vendit à 357572 unités dont 20313 en version break.

En septembre 1993, FIAT vendit l’usine Lancia de Chivasso à la Carrozzeria Maggiora. Ce site industriel cessa son activité 10 ans plus tard.
En octobre 1994 lors du Salon de l’automobile de Paris, fut présentée la Lancia Kappa. Elle eut la lourde tâche de succéder à la Lancia Thema. Elle fut dessinée par Ercole Spada, le designer de la Lancia Flavia Coupe Sport Zagato. A partir de 1983 et pendant 10 ans, ce dernier dirigea l’I.De.A. Institute (acronyme d’Institute of Development in Automotive Engineering). Le travail de cet institut, actif entre 1978 et 2019, n’arriva pas à convaincre les anciens clients de Lancia, à conquérir une nouvelle clientèle. Il fit un mal irréversible à l’industrie automobile italienne et coréenne (Kia, Daewoo et SsangYong).
A l’instar de la Lancia Thema, la Lancia Kappa fut équipé de moteurs transversaux, d’une suspension à 4 roues indépendantes, de 4 freins à disques. Son empattement était de 2,7m ; sa longueur, de 4,69m. La boîte à vitesses manuelle offrait 5 rapports ; la boîte à vitesses automatique, 4 rapports. La berline fut réalisée jusqu’en 2001 à 104752 exemplaires dans l’usine FIAT-Rivalta de Turin ; le break Station Wagon muni de la suspension Nivomat (autonivelante), à 9208 unités dans l’usine Pininfarina de Grugliasco ; le coupé, à 3271 exemplaires dans l’usine Maggiora de Chivasso entre avril 1997 et mars 2000. Ce dernier possédait un arrière beaucoup plus travaillé, de style Lancia Flaminia Coupe Pininfarina ; son empattement était 2,58m ; sa longueur de 4,57m.



En septembre 2001 lors du Salon de l’automobile de Francfort, fut présentée la Lancia Thesis. L’objectif annoncé fut une production annuelle de 13000 unités avec une latitude jusqu’à 25000 voitures. Son empattement était de 2,8m ; sa longueur, de 4,89m. Son style néo-rétro était dû au designer américain Michael Vernon Robinson dit « Mike Robinson » (1956-…) œuvrant chez FIAT ou Lancia entre 1988 et 2009. FIAT investit 405 millions d’euros en recherche, développement et industrialisation sur le site de FIAT-Rivalta. Cependant, au dernier moment, l’usine fut réaffectée à la production de composants de Fiat Avio, puis revendue en 2003 à un consortium d’investisseurs mené par Finmeccanica. La production fut transférée précipitamment de l’usine FIAT-Rivalta à l’usine FIAT-Mirafiori. La Lancia Thesis, attendue dans les concessions en avril 2002, fit finalement son apparition fin juin 2002. La boîte à vitesses manuelle offrait 6 rapports ; la boîte à vitesses automatique dénommée Comfortonic, 5 rapports. Une version blindée, dénommée Lancia Thesis Protecta Comfortonic, fut disponible à la vente entre 2003 et 2004. La Carrozzeria Stola proposa une limousine en 2004 ; son empattement était de 3,4m ; sa longueur, de 5,49m. En 7 ans, seulement 15941 Lancia Thesis furent réalisées. Elle fut remplacée par la propulsion Lancia Thema II.

Epoqu’auto 2022

Epoqu’auto 2022

Les routières et familiales Lancia
En mars 1963 lors du Salon de l’automobile de Genève, fut présentée la Lancia Fulvia. Cette berline constitua un trait d’union entre les chefs-d’œuvre de Vincenzo Lancia (exploitation d’un V4 à angle réduit) et le nouvel ADN introduit par Antonio Fessia (transmission de la puissance aux roues avant, présence d’un essieu arrière rigide et des 4 freins à disques). La particularité de ses motorisations résidait dans la présence d’un double arbre à cames en tête. Sa carrosserie dessinée par Piero Castagnero, était extrêmement classique. Son empattement était de 2,48m. Sa longueur était de 4,16m, 4,11m entre 1967 et 1969, 4,16m entre 1969 et 1972. L’introduction d’un second carburateur en 1964 la rendit plus alerte. L’usine de Chivasso en fabriqua 192050 en 9 ans.

Epoqu’auto 2022
En mars 1965 lors du Salon de l’automobile de Genève, fut présenté le coupé 2+2 Lancia Fulvia. Pure merveille esthétique, son design était dû à Piero Castagnero ; cependant la presse spécialisée fit remarquer que sa ligne était fort proche de celle du coupé OSCA 1500/1600 Michelotti. Son empattement était de 2,33m. Sa longueur était de 3,98m (coupé Lancia Fulvia 1.6 HF 5 speed Lusso compris), de 3,94m pour les versions HF et Safari. En 1972, le coupé Lancia Fulvia 1.6 HF remporta le Championnat International des Marques (ICM), l’ancêtre du Championnat du monde des rallyes (WRC). L’usine de Chivasso en fabriqua 139797 en 11 ans.

Epoqu’auto 2022
Dessiné par Ercole Spada, la Carozzeria Zagato construisit son coupé Lancia Fulvia Sport Zagato entre 1965 et 1972. Il intégrait des caractéristiques particulières : 2 places, hayon en acier à ouverture électromécanique commandée par un bouton situé sur le tableau de bord, carrosserie en Peraluman entre 1965 et 1967, capot et portes en Peraluman entre 1968 et 1970, carrosserie en acier entre 1971 et 1972. Son empattement était de 2,33m ; sa longueur, de 4,09m (4,14m entre 1971 et 1972). L’atelier de carrosserie milanais de Terrazzano di Rho réalisa 7102 coupés en 7 ans.

Epoqu’auto 2022


En novembre 1972 lors du Salon de l’automobile de Turin, Lancia créa la surprise avec sa Lancia Beta :
- 4 cylindres Fiat muni d’un double arbre à cames en tête et accouplé à une boîte à vitesses manuelle 5 rapports,
- empattement de 2,54m offrant une habitabilité généreuse grâce à l’implantation transversale de son moteur,
- carrosserie 4 portes fastback dessinée par Sergio Sartorelli (1928-2009),
- capot s’ouvrant vers l’avant,
- suspension à 4 roues indépendantes,
- 4 freins à disques,
- finition LX offrant des vitres teintées, des jantes en allège léger, la direction assistée.

Grâce à sa longueur généreuse (4,29m entre 1972 et 1975, 4,3m entre 1975 et 1979, 4,33m entre 1979 et 1981), la Lancia Beta Berlina offrait un certain statut et remplaça avantageusement la Lancia Fulvia Berlina. L’usine de Chivasso en fabriqua 194916 en 9 ans, chiffre à rapprocher de la production de sa devancière, 192050 exemplaires. Ce résultat commercial découlait d’une faiblesse ; son berceau avant était incapable d’évacuer les eaux pluviales, il pourrissait. En 1978, Lancia racheta les Lancia Beta vendues au Royaume-Uni, son premier marché d’exportation…
En avril 1980 lors du Salon de l’automobile de Turin, fut présentée la Lancia Beta Trevi, une Lancia Beta notchback. Sa longueur était de 4,36m. En 1981, elle fut rebaptisée Lancia Trevi, sa longueur étant de 4,34m. L’usine de Chivasso en fabriqua 40628 en 4 ans, un exploit car ses glaces latérales lui donnait une esthétique de voitures soviétiques.
En septembre 1973 lors du Salon de l’automobile de Francfort, fut présenté le magnifique coupé Lancia Beta. Il devint disponible à la vente en mars 1974. Dessiné par Piero Castagnero, son intérieur était spécifique, quatre sièges individuels de même forme tous équipés d’appuie-tête. Son empattement était de 2,35m ; sa longueur, de 4m. L’usine de Chivasso en fabriqua 113623 en 10 ans.

En mars 1975 lors du Salon de l’automobile de Genève, fut présenté le spider Lancia Beta dans sa version définitive. Son empattement était commun avec celui du coupé, sa longueur était de 4,04m. Son toit amovible était rigide et en résine. A l’arrière, une lunette souple était rabattable. L’arceau de sécurité était présent. La carrosserie et l’ensemble mécanique étaient réalisés dans l’usine de Chivasso. Les voitures partiellement assemblées furent terminées à Milan chez Zagato. 8594 Lancia Beta Spider furent réalisées en 7 ans.

Epoquauto 2022

En mars 1975 lors du Salon de l’automobile de Genève, fut présenté le break de chasse 3 portes Lancia Beta HPE (HPE pour High Performance Estate). Son empattement était celui de la Lancia Beta Berlina. Sa longueur était comprise entre 4,28m et 4,29m. Cette 5ème variante de carrosserie était extrêmement intéressante : 2 places arrière généreuses et confortables, dossiers et assises arrière rabattables séparément (50%/50%), avant élégant du coupé. L’usine de Chivasso en fabriqua 71257 en 9 ans.
Une des motorisations fut relativement spécifique. Elle fut montée sur la finition VX ou Volumex de la Lancia Trevi entre 1982 et 1984, de la Lancia Beta Coupe entre 1983 et 1984, de la Lancia Beta HPE entre 1983 et 1984, vendues respectivement à 3844, 1272 et 2369 exemplaires. Le 4 cylindres de 1995cm³ muni d’un double arbre à cames en tête était équipé d’un carburateur double corps Weber 36 DCA 5/250 et d’un compresseur mécanique de type Roots. L’objectif était d’améliorer le couple à bas régime.

Epoquauto 2022

Les Lancia Beta Berlina, Coupe, Spider et HPE furent exportées sur le marché nord-américain respectivement entre 1975 et 1981, 1975 et 1981, 1979 et 1982, 1976 et 1981. Légèrement moins performantes, leurs longueurs respectives étaient de 4,52m, 4,13m, 4,18m et 4,54m, leurs pare-chocs étant plus imposants.
Quelques modèles furent assemblés hors d’Italie :
- 246 Lancia Beta Coupe entre 1975 et 1978 à Pretoria en Afrique du Sud,
- 120 Lancia Beta Coupe en 1979 à Bangkok en Thaïlande,
- 1398 SEAT-Lancia Beta Coupe entre 1979 et 1981 à Pampelune en Espagne,
- 1349 SEAT-Lancia Beta HPE entre 1979 et 1981 à Pampelune en Espagne.

Annonce parue sur le moteur de recherche Le Parking


11 ans après la disparition du duo Lancia Beta/Trevi, devint disponible à la vente le monospace Lancia Zeta. Il était partie prenante du projet Eurovan qui donna naissance en 1994, au Peugeot 806, Citroën Evasion et FIAT Ulysse. Le Lancia Zeta coiffait cette gamme avec sa présentation plus cossue, calandre chromée, sièges individuels au nombre de 5 ou 6 ou 7 (au choix) recouverts d’Alcantara ou de cuir. La finition LE donnait droit à la direction assistée, au verrouillage centralisé, aux vitres avant électriques. La finition LS ajoutait la climatisation, les jantes en alliage, la sellerie en Alcantara, signature de Lancia. La finition LX apportait, notamment, la climatisation automatique. Les deux portières arrière étaient coulissantes. Son empattement était de 2,82m ; sa longueur, de 4,47m. La présence des 4 freins à disques dépendait de la motorisation retenue, d’origine Peugeot, implantée transversalement, accouplée à une boîte à vitesses manuelle 5 rapports ou automatique 4 rapports. Muni d’un essieu arrière rigide, il fut fabriqué dans l’usine SEVEL d’Hordain située à proximité de Valenciennes (SEVEL pour Société Européenne de Véhicules Légers). Ce monospace familial se vendit à 22014 unités en 7 ans.

Le 68ème et dernier Salon de l’automobile de Turin se tint en juin 2000. Les maîtres-carrossiers perdaient ainsi leurs vitrines. En 2002, le monospace Lancia Phedra remplaça le Lancia Zeta. Toujours fabriqué dans l’usine SEVEL d’Hordain, il coiffa le Peugeot 807, le Citroën C8 et le FIAT Ulysse II. L’empattement de 2,82m de la précédente génération fut conservé. La longueur du Lancia Phedra était de 4,75m. La grande nouveauté résidait dans l’adoption de portes arrière coulissante motorisées et la présence des 4 freins à disques. La boîte à vitesses manuelle offrait 5 rapports ; la boîte à vitesses automatique, 4 rapports. En avril 2004, la boîte à vitesses manuelle 6 rapports fut montée sur le 4 cylindres turbo diesel de 2179cm³ ; elle fut généralisée en juillet 2006. Ce monospace familial se vendit à 43687 unités en 8 ans.

En mars 2011 lors du Salon de l’automobile de Genève, fut dévoilé le remplaçant du Lancia Phedra, dénommé Lancia Voyager. Clone du Chrysler Town & Country, il fut fabriqué dans l’usine de Windsor au Canada. Son empattement était de 3,08m ; sa longueur, de 5,22m. Il était équipé d’une boîte à vitesses automatique 6 rapports. Pour coller au mieux au marché européen, le V6 de 3604cm³ fut complété par un 4 cylindres turbo diesel muni d’un common rail de marque VM Motori. L’essieu arrière rigide était également présent. Ce monospace familial se vendit à 15266 exemplaires en 4 ans.

En mars 2012 lors du Salon de l’automobile de Genève, fut dévoilé le cabriolet Lancia Flavia II. Clone du Chrysler 200 Convertible, il fut fabriqué dans l’usine de Sterling Heights aux Etats-Unis. Son empattement était de 2,77m ; sa longueur, de 4,95m. Il était équipé d’une boîte à vitesses automatique 6 rapports. La suspension à 4 roues indépendantes et les 4 freins à disques étaient présents. Ce cabriolet se vendit à 1129 exemplaires entre 2012 et 2014. Somme toute, Lancia ne conçut pas une descendance crédible au duo Lancia Beta/Trevi.


Les compactes Lancia
En septembre 1979 lors du Salon de l’automobile de Francfort, fut présentée la compacte 5 portes Lancia Delta. Elle avait un empattement de 2,48m, une longueur de 3,89m (3,9m entre 1986 et 1994). Son style était dû à Giorgetto Giugiaro (1938-….), le designer de la Volkswagen Golf I. Elle obtint le Trophée européen de la voiture de l’année 1980. Sa suspension à 4 roues indépendantes était inédite sur le marché des compactes : une suspension Mc Pherson aux quatre coins. Sa boîte à vitesses manuelle offrait 5 rapports, elle demeura optionnelle avec le 4 cylindres de 1302cm³ jusqu’en 1982. Si la puissance de son moteur transversal dépassait 100 chevaux, les 4 freins à disques étaient présents. Elle fut fabriquée dans l’usine historique FIAT de Lingotto entre 1979 et 1982, dans l’usine FIAT de Rivalta entre 1979 et 1993, dans l’usine Lancia de Chivasso entre 1980 et 1994.
Cette compacte 5 portes fut vendue en Suède et en Norvège sous la dénomination SAAB-Lancia 600. La motorisation de 1302cm³ munie d’une boîte à vitesses manuelle 4 rapports ne fut proposée qu’en 1980. Le moteur de 1499cm³ équipée d’une boîte à vitesses manuelle 5 rapports fut disponible entre 1980 et 1986. Seulement 6149 voitures trouvèrent preneur car, sous ces contrées, elles rouillèrent facilement. Cette aventure entacha son image.

A son volant, son confort, sa tenue de route, son centre de gravité qui se situait au niveau des hanches du conducteur, ses appuis sur la roue arrière extérieure, ravissaient. Cependant, à l’époque, trouver une Lancia Delta d’occasion en bon état et à un prix raisonnable était mission impossible.
En 1983, apparut la Lancia Delta HF Turbo. Son 4 cylindres de 1585cm³ muni d’un double arbre à cames délivrait 130ch à 5600tr/mn. Sa vitesse maximale était de 195km/h, le 0 à 100km/h était franchi en 8,9s. Son excellent châssis était pleinement exploité.
En 1986, apparut la Lancia Delta HF 4WD. Son 4 cylindres turbo injection de 1995cm³ muni d’un double arbre à cames délivrait 166ch à 5250tr/mn. Sa vitesse maximale était de 208km/h, le 0 à 100km/h était franchi en 7,8s. Munie de 4 roues motrices, d’une direction assistée, d’un différentiel arrière autobloquant Torsen, le différentiel central épicycloïdal à viscocoupleur de type Ferguson répartissait le couple, 56% à l’avant et 44% à l’arrière. A partir de 1987, sous la dénomination Lancia Delta HF Integrale, elle fut sans cesse améliorée. Les Lancia Delta HF 4WD et HF Integrale remportèrent le Championnat du monde des rallyes (WRC) entre 1987 et 1992 ! Cette première génération, ne représente-t-elle pas la quintessence de ce que doit être une compacte ? En incluant la production des versions quatre roues motrices, la Lancia Delta I fut fabriquée à 525231 exemplaires.

Epoqu’auto 2023
La Carrozzeria Zagato rendit hommage à la Lancia Delta I HF Integrale en l’habillant d’une carrosserie en aluminium. Ce coupé 2+2, dénommé Lancia Hyena, dépourvu d’un couvercle de coffre, d’une longueur de 4,01m, fut fabriqué à 25 exemplaires entre 1992 et 1993.

Retro Classics Stuttgart 2019


En novembre 1982, débuta la production de la Lancia Prisma dans les usines FIAT de Rivalta et Lancia de Chivasso. Elle devint disponible à la vente en 1983. Son style était dû à Giorgetto Giugiaro. La presse française s’empressa de dénigrer cette 4 portes dérivée de la Lancia Delta, la destinant au marché sud-européen. La boîte à vitesses 5 rapports et l’essieu arrière « Camuffo » (Mc Pherson à roues indépendantes) étaient bien présents. Sa longueur fut portée à 4,18m. Son coffre, avec la banquette arrière en place, offrait un volume de 410 litres. La climatisation était disponible sur les versions les plus huppées. Elle faisait partie des plus jolies compactes transformées en variante 4 portes, voire la plus jolie de tous les temps. Elle fut fabriquée en 6 ans à 386697 exemplaires.


En avril 1989, fut présentée la remplaçante de la Lancia Prisma, dénommée Lancia Dedra. Son style insipide était dû à l’I.De.A. Institute. Son Cx était de 0,29. Son capot s’ouvrait vers l’arrière. Son empattement était de 2,54m ; sa longueur de 4,34m. Son coffre, avec la banquette arrière en place, offrait un volume de 480 litres. Sa suspension arrière à roues indépendantes faisait appel à des bras tirés et des ressorts hélicoïdaux. La boîte à vitesses manuelle offrait 5 rapports. Le break Lancia Dedra Station Wagon fut lancé en 1994, l’empattement et la longueur étant commun avec ceux de la berline. L’usine Lancia de Chivasso fabriqua ces voitures jusqu’en 1993 ; l’usine FIAT de Rivalta, jusqu’en 1999. 418084 Lancia Dedra furent produites en 10 ans.


Italian Car Day Heritage Motor Centre Gaydon 2010
En septembre 1993 lors du Salon de l’automobile de Francfort, fut présentée la Lancia Delta II. Son style était dû à l’I.De.A. Institute. En adoptant un hayon, la longueur de la Lancia Dedra fut ramenée à 4,01m. En septembre 1995 lors du Salon de l’automobile de Francfort, fut présentée la Lancia Delta HPE, une version 3 portes dénudée du raffinement stylistique de la Lancia Beta HPE, mais équipée de quelques motorisations fort intéressantes. L’usine Alfa Romeo de Pomigliano d’Arco fabriqua cette voiture jusqu’en 1994 ; l’usine FIAT de Rivalta, entre 1994 et 1999. 138980 unités furent produites.

En mars 1999, fut présentée la remplaçante de la Lancia Dedra, la Lancia Lybra. Elle fut mise en vente en septembre de la même année. Elle fut dessinée en interne dans un style néo-rétro. Son capot s’ouvrait vers l’arrière. Son empattement était de 2,59m ; sa longueur de 4,47m. Sa suspension arrière à roues indépendantes faisait appel à des bras transversaux et des ressorts hélicoïdaux. La boîte à vitesses manuelle offrait 5 rapports. Les 4 freins à disques étaient présents. Le break Lancia Lybra Station Wagon fut lancé en même temps, l’empattement et la longueur étant commun avec ceux de la berline. L’usine FIAT de Rivalta fabriqua cette voiture jusqu’en 2002 ; l’usine FIAT de Mirafiori, entre 2002 et 2005 ; 164660 Lancia Lybra furent produites en 6 ans.



En mars 2008 lors du Salon de l’automobile de Genève, fut présentée la Lancia Delta III, la dernière compacte d’une marque qui ne possédait plus d’usine. La production débuta en juin de la même année. Son style qui semble intemporel, était dû à Flavio Manzoni (1965-….), célèbre pour toutes les Ferrari dessinées par ses soins. Sa plate-forme provenait de la FIAT Bravo, son empattement étant porté de 2,6m à 2,7m, l’essieu arrière rigide étant reconduit. Sa concurrente directe, l’Alfa Romeo Giulietta, avait un empattement de 2,63m et bénéficiait d’une suspension à 4 roues indépendantes. Pour séduire la clientèle, une palette de moteurs fort performants fut proposée ainsi qu’une finition léchée. La critique porta sur les ajustements inégaux des portes et du hayon. Sa longueur était de 4,52m. La boîte à vitesses manuelle offrait 6 rapports. En 7 ans, l’usine FIAT de Cassino réalisa 140845 exemplaires. Cette voiture doit être fiable car, 10 ans après la fin de sa production, de nombreuses Lancia Delta III circulent encore.

Les citadines Lancia

En septembre 1995, fut présentée la citadine Lancia Ypsilon. Munie d’une boîte à vitesses manuelle 5 rapports, elle remplaça avantageusement la mini-citadine Autobianchi/Lancia Y10. Son empattement était de 2,38m ; sa longueur, de 3,72m (3,74m entre 2000 et 2003). Sa suspension arrière à roues indépendantes, ressemblait à celle de la Lancia Dedra. Son style était dû à Enrico Fumia (1948-….). La boîte à vitesses manuelle 6 rapports fut disponible entre 1996 et 2000 sur le moteur de 60 chevaux. Cette citadine 3 portes fut réalisée dans l’usine FIAT de Melfi. En 8 ans, 802890 Lancia Ypsilon furent produites, un joli succès commercial ! Cependant, les contrôles techniques faisaient ressortir une asymétrie au niveau de la suspension arrière, ce qui ne ravissait les propriétaires. Ainsi, fut prise la décision d’équiper les futures citadines Lancia d’un essieu arrière rigide.


En septembre 2003 lors du Salon de l’automobile de Francfort, fut présentée la Lancia Ypsilon II. Son empattement était de 2,39 ; sa longueur, de 3,78m (3,81m entre 2006 et 2011). Le modèle de base était équipé de la direction assistée, du verrouillage centralisé, des vitres avant électriques, du siège conducteur réglable en hauteur. La climatisation et les sièges arrière coulissants étaient optionnels. Entre 2006 et 2010, la boîte à vitesses manuelle 6 rapports était accouplé avec le moteur de 95 chevaux. Stricte 3 portes, elle fut réalisée dans l’usine FIAT de Melfi jusqu’en 2005, puis dans l’usine FIAT de Termini Imerese. En 8 ans, 543252 Lancia Ypsilon II furent produites.

En mars 2004 lors du Salon de l’automobile de Genève, fut présenté le monospace citadin Lancia Musa, version extrêmement luxueuse du FIAT Idea. Sa commercialisation débuta en septembre de la même année. Son empattement était de 2,51m ; sa longueur, de 3,99m (4,04m entre octobre 2007 et septembre 2012). La boîte à vitesses manuelle offrait 5 rapports (6 rapports avec la motorisation essence de 95 chevaux à partir de 2005). Il fut réalisé dans l’usine FIAT de Mirafiori pendant 8 ans. 237505 Lancia Musa furent produits.


En mars 2011 lors du Salon de l’automobile de Genève, fut présentée la Lancia Ypsilon III. Elle réunit en elle, la Lancia Ypsilon II, une citadine 3 portes, et le Lancia Musa, un monospace citadin 5 portes. En effet, elle était équipée de 5 portes. Son empattement de 2,39m fut conservé. Sa longueur était de 3,84m. La boîte à vitesses manuelle offrait 5 rapports (6 rapports à partir d’octobre 2020). La boîte à vitesses semi-automatique 5 rapports fut optionnelle sur la motorisation TwinAir de 85 chevaux, puis montée en série entre 2016 et 2018. Elle se dénommait Chrysler Ypsilon en Irlande et au Royaume-Uni. En mai 2017, la commercialisation de la Lancia Ypsilon III fut stoppée sur le marché européen, elle demeura disponible en Italie. Sa grille tarifaire demeura suffisamment attractive pour continuer à bien se vendre. En 13 ans, l’usine FIAT de Tychy en Pologne produisit plus de 710000 Lancia Ypsilon III.

Le 14 février 2024 à Milan, fut exposée la Lancia Ypsilon IV destinée au marché européen. Légèrement plus confortable que la Peugeot 208, légèrement plus longue (4,08m contre 4,06m), elle ressemble à cette dernière, partage l’empattement de 2,54m, sa grille tarifaire, son usine de Figueruelas près de Saragosse en Espagne. Naturellement, l’essieu arrière rigide est présent. Le 3 cylindres turbo injection de 1199cm³ est équipé d’une chaîne de distribution et d’une boîte à vitesses semi-automatique 6 rapports. Concernant les motorisations électriques accouplée à une boîte à vitesses automatique 1 rapport, la chaîne de valeur provenant de la Chine est estimée à 30%. Les roues avant sont motrices.


La Lancia Ypsilon III appartient à l’ancien monde, celui de l’acceptation d’une grille tarifaire contre obtention d’une citadine chic. Avec ses tarifs élitistes, la Lancia Ypsilon IV appartient au nouveau monde, celui de la location longue durée (LDD). Les passionnés de la marque Lancia émettent des réserves : louer une Lancia qui n’est, ni plus, ni moins, qu’une Peugeot 208…
Avec la Lancia Ypsilon IV, le groupe Stellantis (né le 21 janvier 2021 de la fusion entre les groupes FIAT, Chrysler et PSA) se montra prudent. La moindre erreur peut s’avérer fortement pénalisante. De plus, pour attirer les investisseurs, une société se doit d’offrir une meilleure rentabilité que celle des métaux précieux.
Le 29 octobre 2024, la Commission européenne adopta le règlement d’exécution (UE) 2024/2754 instituant des droits de douane compensateurs sur les importations de véhicules électriques à batterie provenant de Chine. Le but louable (néanmoins, au détriment des consommateurs) est de protéger l’industrie automobile européenne.
Cependant, la décision d’exécution (UE) 2026/328 de la Commission européenne du 09/02/2026 accorde à Volkswagen, une exemption des droits de douane pour le SUV électrique Cupra Tavascan, produit en Chine et destiné au marché européen. Pour cela, Volkswagen doit :
- respecter un prix minimum d’importation (montant tenu secret),
- limiter les volumes importés (quantité tenue secrète),
- investir dans des projets de véhicules électriques dans l’UE.
Cela représente une opportunité pour tous les constructeurs mondiaux, réaliser un bénéfice complémentaire en s’attribuant les droits de douane compensateurs appliqués aux véhicules électriques importés de Chine. Le 12/02/2026, He Yadong, porte-parole du ministère du Commerce, déclara lors d’un point presse, que la Chine espérait voir davantage de constructeurs chinois conclure des accords de prix avec l’UE. Devons-nous nous attendre à des prix élevés (opaques grâce au filtre que constitue la LLD) et à une nouvelle perte d’emplois européens dans l’industrie automobile ? De plus, de nouvelles énergies exploitées en Chine telles que les sels fondus de thorium, peuvent contribuer à la réduction des coûts de production (réacteur expérimental TMSR-LF1), de la logistique, du transport (porte-conteneurs KUN-24AP).

Motor Passion Avignon 2022
La suite, la semaine prochaine…
Crédit Photos : ABSOLUTELY CARS & Photos d’Archives



