
Les marques Borgward et Hansa fabriquèrent des voitures de tourisme extraordinairement intéressantes. Les Hansa 1100, 1700, 2000 et 3500, ainsi que les Borgward 2000 et 2300, étaient munies d’une suspension à 4 roues indépendantes et de freins à assistance hydrauliques, avant la Seconde Guerre mondiale !
ABSOLUTELY CARS vous invite à redécouvrir au travers de cette saga de nombreux constructeurs allemands : Hansa, Lloyd, Hansa-Lloyd, Brennabor, NAG, Protos, Presto, Polymobil, Dux, Voran, Goliath, Borgward. Toutes ces marques croisèrent leurs destins au travers de fusions, d’associations commerciales, de rachats.
Ce premier article raconte l’histoire du groupe Borgward depuis ses origines jusqu’à la fin de la Seconde Guerre mondiale. Un second article lui sera consacré à partir de 1945.
Hansa-Lloyd, le temps des fusions
Les constructeurs d’automobiles allemands furent nombreux avant la Première Guerre mondiale. Un peu plus de 138000 voitures équipées de moteurs thermiques à combustion interne furent fabriquées jusqu’en 1918. Le premier constructeur fut Opel avec une part de 13,42%, suivi de Benz, 13,17% ; d’Adler, 10,12% ; de Daimler/Mercedes, 9,83% ; de Protos, 6,93% ; de NAG, 5,82% ; de Hansa, 4,25%. D’autres constructeurs eurent moins de succès ; Brennabor, 3,17% ; Presto, 0,66% ; Polymobil/Dux, 0,56% ; Lloyd, 0,55%.

Autoworld Bruxelles
Hansa, un des futurs quatre membres du groupe Borgward, fut fondée le 1er décembre 1905 à Varel par August Sporkhorst (1871-1939) et Robert Allmers (1872-1951). La production débuta en 1906 et les voitures acquirent assez rapidement une bonne image en matière de fiabilité. En 1914, la société fusionna avec NAMAG et les automobiles furent vendues sous la marque commerciale Hansa-Lloyd. Le succès de cette fusion ne se démentit pas, l’usine Hansa de Varel fermant ses portes en 1930. Le 28 février 1931, les deux fondateurs créèrent la DAT (Deutsche Automobil Treuhand GmbH) dont l’activité principale était de collecter et de traiter des données complètes sur les véhicules, de fournir des informations sur les volumes de production et de vente, d’établir des grilles sur les coûts de réparation. Cette société est toujours en activité.

NAMAG fut créée le 15 mai 1906 à Brême, par Sigmund Meyer (1873-1935) à la demande d’Heinrich Wiegand (1855-1909), directeur général de NDL (Norddeutscher Lloyd). L’objectif fut d’exploiter les brevets de la Compagnie Parisienne des Voitures Électriques Système Kriéger et de produite des voitures, des camions, des tramways électriques.
Lloyd, un des futurs quatre membres du groupe Borgward, fut fondée en 1908 également à Brême et, en tant que filiale de NAMAG (Norddeutsche Automobil und Motoren AG), proposa des voitures et des camions équipés de moteurs thermiques. En 1914, une fusion permit la création de Hansa-Lloyd Werke AG de Brême. NAMAG disparut, mais les camions et véhicules utilitaires électriques furent fabriqués jusqu’en 1935. Sur quelque 51000 camions et utilitaires construits en Allemagne jusqu’en 1918, NAMAG/Lloyd en fabriqua 22,32% et était de ce fait, le premier constructeur allemand.

Sigmund Meyer devint membre du conseil d’administration aux côtés d’August Sporkhorst et de Robert Allmers et le resta jusqu’en 1929. En 1915, il créa à Brême la LDW (Lloyd Dynamowerke GmbH) pour produire des machines tournantes électriques (moteurs et générateurs), entité toujours en activité aujourd’hui.



Hansa-Lloyd, le temps des alliances
Après la Première Guerre mondiale, la crise sociale due à la perte du pouvoir d’achat, sévissait sur tout le globe, même aux Etats-Unis. Ainsi, Sigmund Meyer fonda en 1919 à Brême-Hastedt, la Gemeinschaft Deutscher Automobilfabriken (GDA) avec Hansa-Lloyd, NAG et Brennabor. L’objectif était de proposer un catalogue complet, de vendre des voitures et des véhicules utilitaires dans toute l’Allemagne.
Dux, Presto, Magirus, fabricant de camions de lutte contre l’incendie, et VOMAG (Vogtländische Maschinenfabrik AG), fabricant de machines pour l’industrie textile, de presses rotatives et de camions, firent de même. En 1919, ils se regroupèrent sous l’association commerciale Deutsche Automobil-Konzern (DAK).

Industriemuseum Brandenbourg
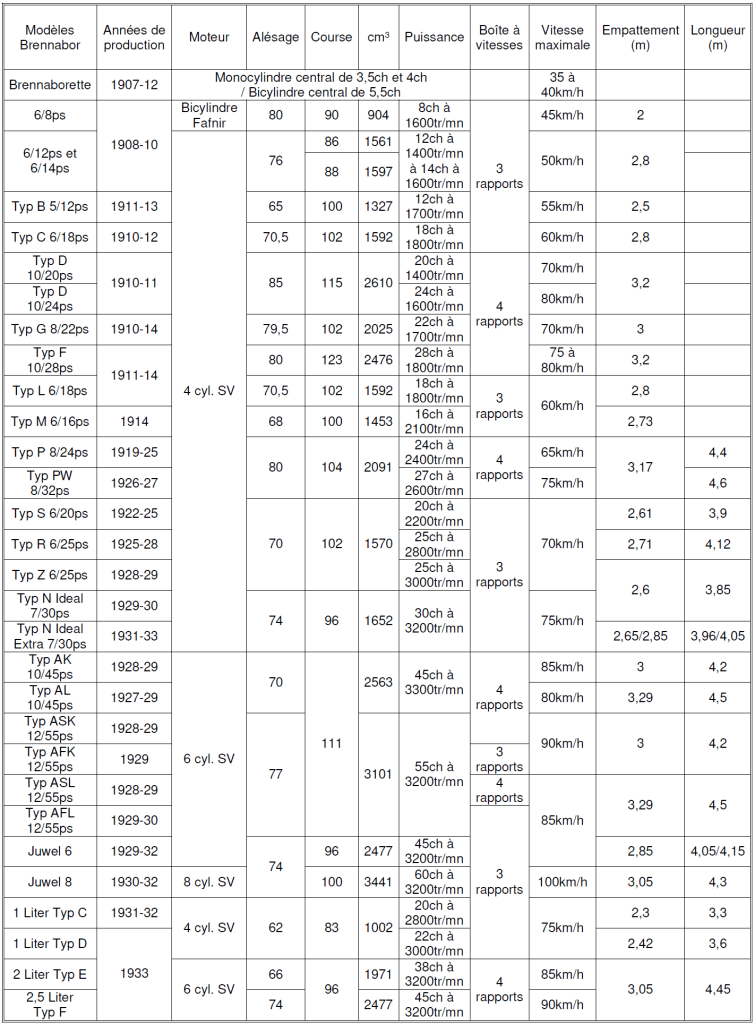
Brennabor fut fondée à Brandebourg-sur-la-Havel en 1871 par les frères Adolf, Carl et Hermann Reichstein pour fabriquer des landaus et des poussettes, cette activité demeura pérenne jusqu’en 1945. Dès 1881, furent produites des bicyclettes. Entre 1901 et 1913 et entre 1930 et 1942, furent construites des motocyclettes ; entre 1904 et 1913, des tricycles motorisés munis d’un siège complémentaire ou d’un coffre implanté entre les deux roues avant. Entre 1907 et 1912, fut produite le célèbre Brennabor Brennaborette, un tricycle muni d’une roue avant et d’un coffre optionnel plus ou moins volumineux situé à l’arrière. En 1908, débuta la fabrication des automobiles.

EFA Mobile Zeiten d’Amerang
L’association commerciale GDA dura 10 ans et fut bénéfique à Brennabor, 48601 voitures furent vendues entre 1919 et 1929 plaçant Brennabor sur le podium des fabricants allemands, à la seconde place derrière Opel. La crise économique mondiale tendit les relations entre les trois constructeurs et la belle alliance commerciale explosa en plein vol en 1929. Quatre ans après, en 1933, Brennabor stoppa la production des voitures ; 55078 avaient été réalisées, 9,7% munies d’un 6 cylindres et de 4 freins à tambours (les 4 freins à tambours étant généralisés en 1928), 0,2% équipées d’un 8 cylindres.


Le second membre de GDA fut le constructeur NAG, créé en décembre 1901 à Berlin par Emil Moritz Rathenau (1838-1915), le fondateur de la célèbre société en électromécanique AEG, dissoute en octobre 1996. Il s’intéressa à une voiture, celle conçue par Ernst Georg Klingenberg (1870-1925). Ce dernier la vendit sous son nom entre 1898 et 1899, puis sous l’entité Allgemeine Automobil-Gesellschaft Berlin GmbH (AAG) entre 1900 et 1901. Elle finit par être produite par NAG en 1902 ; NAG signifiant Neue Automobil-Gesellschaft AG, Nationale Automobil-Gesellschaft à partir de 1915. En effet, Emil Moritz Rathenau fit acheter AAG par AEG. La fabrication des voitures conçues en interne débuta en 1903, en même temps que celle des véhicules commerciaux qui ne connurent point le même succès. Curieusement, le niveau de production de NAG fut le plus important pendant l’hyperinflation du Papiermark (qui fut remplacé par deux monnaies, respectivement le 1er décembre 1923 et le 30 août 1924, le Rentenmark étant utilisée par la population, le Reichsmark, pour les échanges internationaux). Cette crise monétaire mit à mal l’association commerciale DAK qui disparut en 1926.

La disparition en 1926 de l’association commerciale DAK fut perçue par NAG, filiale d’AEG, comme une opportunité. L’idée était d’acheter plusieurs marques pour créer une différentiation par les dénominations.
En 1926, NAG acheta Protos, un constructeur renommé car il termina la course New York-Paris de 1908. La production des automobiles débuta à Berlin en 1900, fut transférée à Spandau en 1908. La société adopta les 4 freins à tambours en 1924. En 1927, les 6 cylindres NAG Typ D6 12/60ps et NAG Typ D7 14/70ps furent rebaptisées NAG-Protos Typ D6 12/60ps et NAG-Protos Typ D7 14/70ps. Elles furent remplacées par les NAG-Protos Typ 201 12/60ps, NAG-Protos Typ 204 14/70ps, NAG-Protos Typ 207 16/80ps et NAG-Protos Typ 208 16/80ps, ces quatre dernières étant équipées d’une boîte à vitesses 3 rapports avec embrayage centrifuge au lieu d’une boîte à vitesses 4 rapports non synchronisée. Cette lignée fut retirée en 1933 et ne fut pas remplacée.



En 1927, NAG acheta Presto, un constructeur implanté à Chemnitz qui fabriqua des motocyclettes à partir de 1901, qui distribua des Delahaye (sous la marque commerciale Presto-Delahaye) entre 1901 et 1910, qui réalisa des automobiles à partir de 1910. Presto acheta Dux en 1926, un constructeur implanté à Leipzig et dénommé Polymobil entre 1904 et 1908.
NAG fit disparaître Dux. La dernière Dux, la 6 cylindres Dux Typ R 17/60ps, était équipée des freins à tambours sur les 4 roues. NAG rebaptisa les 6 cylindres Presto Typ F 10/50ps et Presto Typ G 12/55ps en NAG-Presto Typ F 10/50ps et NAG-Presto Typ G 12/55ps, Presto ayant adopté les 4 freins à tambours en 1925. Cette lignée fut retirée en 1928 et ne fut pas remplacée.

(Réclame de 1904)


En 1929, l’association commerciale GDA disparut. En 1930, AEG acheta pour NAG le constructeur berlinois Voran créé en 1926, spécialisé dans la transmission aux roues avant, exploitant des 4 cylindres Pluto/Amilcar. En 1933, devint disponible la NAG-Voran Typ 220. Cette voiture était équipée d’une carrosserie en contreplaqué recouverte de similicuir, d’un 4 cylindres à plat de 1484cm³ muni de soupapes latérales accouplé à une boîte à vitesses 4 rapports non synchronisée, d’une suspension à 4 roues indépendantes. Deux empattements étaient disponibles, 2,65m (longueur 4,22m) et 2,75m (longueur 4,32m). En 1934, les panneaux de la carrosserie étaient en tôle. Environ 500 NAG-Voran Typ 220 furent réalisées. Entre temps, en 1931, la branche NAG des véhicules utilitaires fut vendue à Büssing. Enfin, entre 1931 et 1934, NAG fabriqua sous son nom, les NAG V8 Typ 218 18/100ps et NAG V8 Typ 219 18/100ps ; un V8… une première en Allemagne !
En 7 ans, AEG fit disparaître 5 marques, Dux, Presto, Protos, Voran et la branche des automobiles NAG. Les concurrents en furent heureux, d’autant plus qu’ils n’avaient pas dilapidé leurs trésoreries.



Hansa-Lloyd, le temps des rachats
Carl Friedrich Wilhelm Borgward (1890-1963), ingénieur à l’Université technique de Hanovre, produisit à Brême entre 1924 et 1927, un utilitaire rudimentaire dénommé Blitzkarren, équipé d’une roue à l’avant, de deux roues à l’arrière, d’un monocylindre deux temps de faible cylindrée, dépourvu d’embrayage et de démarreur. Sa charge utile maximale était de 250kg. Ce véhicule économique était en adéquation avec le pouvoir d’achat des ménages allemands. En 1925, Carl Friedrich Wilhelm Borgward s’associa avec Wilhelm Tecklenborg (1882-1948) qui assuma la fonction de directeur commercial. Entre 1925 et 1933, fut fabriqué un second utilitaire dénommé Goliath Rapid complété par la variante Goliath Standard. Muni de deux roues avant directionnelles et d’une roue arrière, il évolua continuellement, sa motorisation deux temps passant graduellement de 198cm³ à 396cm³ ; sa charge utile, de 250kg à 750kg. La boîte à vitesses offrait 3 rapports. En 1928, fut créée par les deux associés à Brême-Hastedt, la Goliath-Werke Borgward & Co.



Entre 1933 et 1937, furent fabriqués les utilitaires Goliath F200 et F400 équipés d’une roue à l’avant, de deux roues à l’arrière, d’un monocylindre de 198cm³ ou d’un bicylindre de 396cm³, deux temps refroidi par air, implanté en position centrale longitudinale. Ils furent rebaptisés Goliath FW200 et FW400, ces derniers étant produits entre 1938 et 1939. Après la Seconde Guerre mondiale, cet utilitaire fut fabriqué entre 1949 et 1955 sous la dénomination Goliath GD750, sa motorisation étant implantée derrière la roue avant et la boîte à vitesses offrant 4 rapports (freins assistés hydrauliquement à partir de 1953). Il continua sa carrière de 1955 à 1961 sous la dénomination Goliath Goli. Dès 1926, furent également fabriqués des utilitaires légers munis de 4 roues. La seule automobile produite par Goliath pendant l’entre-deux-guerres fut la Goliath Pionier, entre 1931 et 1934. Equipée de 3 roues, d’une suspension à roues indépendantes, d’un monocylindre deux temps de 199cm³ ou 247cm³ refroidi par air, implanté à d’arrière, de freins à tambours arrière, d’un frein à main agissant sur la roue avant, elle était disponible en coupé et en cabriolet, sa carrosserie étant constituée de cadres de frêne recouverts de similicuir.
Entre 1929 et 1931, Carl Friedrich Wilhelm Borgward et Wilhelm Tecklenborg achetèrent Hansa-Lloyd. Les voitures de tourisme furent vendues sous la marque Hansa-Lloyd entre 1914 et 1930, sous la marque Hansa entre 1921 et 1939. Les véhicules utilitaires furent distribués sous la marque Hansa-Lloyd entre 1914 et 1939. Hansa adopta les 4 freins à tambours en 1924 ; Hansa-Lloyd, en 1926. Les Hansa Typ A6 et A8 bénéficiaient d’une assistance hydraulique au freinage ; par la suite, seules les Hansa 400 et 500 n’en disposaient pas. La Hansa Matador était équipée d’une suspension arrière à roues indépendantes. Les Hansa 400, 500, 1100, 1700, 2000 et 3500 étaient munies d’une suspension à 4 roues indépendantes, ainsi que les Borgward 2000 et 2300 ! Les Hansa Konsul, Matador, Luxus, Senator et 3500 étaient équipées d’une boîte à vitesses de marque ZF.


En septembre 1937, Carl Friedrich Wilhelm Borgward devint l’unique propriétaire de la Hansa-Lloyd-Goliath Werke AG qui fut rebaptisée Hansa-Lloyd-Goliath Werke Carl F.W. Borgward. Wilhelm Tecklenborg reçut quatre millions de reichsmarks d’indemnité et fut remplacé par Wilhelm Schindelhauer (1887-1959). La nouvelle usine de Brême-Sebaldsbrück fut inaugurée en septembre 1938. Entre 1919 et 1930, Hansa-Lloyd et Hansa fabriquèrent 5400 voitures de tourisme ; Hansa et Borgward entre 1931 et 1942, 33287, Goliath entre 1931 et 1934, 4000. Entre 1919 et 1930, Hansa-Lloyd construisit 20387 véhicules utilitaires ; Hansa-Lloyd et Borgward entre 1931 et 1945, 50560. Entre 1924 et 1939, Blitzkarren et Goliath produisirent 63596 véhicules utilitaires légers dont 81,7% munis de 3 roues. Sans réaliser des études de marché, Carl Friedrich Wilhelm Borgward proposait des produits répondant aux besoins des consommateurs.

La suite, la semaine prochaine…
Crédit Photos : ABSOLUTELY CARS & Photos d’Archives



